2012年普通高等学校招生全国统一考试
文科数学
注息事项:
1.本试卷分第Ⅰ卷(选择题)和第Ⅱ卷(非选择题)两部分。答卷前,考生务必将自己的姓名、准考证号填写在本试卷和答题卡相应位置上。
2.问答第Ⅰ卷时。选出每小题答案后,用铅笔把答题卡上对应题目的答案标号涂黑。如需改动.用橡皮擦干净后,再选涂其它答案标号。写在本试卷上无效.
3.回答第Ⅱ卷时。将答案写在答题卡上.写在本试卷上无效·
4.考试结束后.将本试卷和答且卡一并交回。
第Ⅰ卷
一、选择题:本大 题共12小题,每小题5分,在每小题给同的四个选项中,只有一项是符合题目要求的。
(1)已知集合A={x| x2-x-2<0},B={x|-1
(A)AB (B)BA (C)A=B (D)A∩B=Æ
(2)复数z=的共轭复数是
(A)2+i (B)2-i (C)-1+i (D)-1-i
(3)在一组样本数据(x1,y1),(x2,y2),…,(xn,yn)(n≥2,x1,x2,…,xn不全相等)的散点图中,若所有样本点(xi,yi)(i=1,2,…,n)都在直线y=x+1上,则这组样本数据的样本相关系数为
(A)-1 (B)0 (C) (D)1
(4)设F1、F2是椭圆E:+=1(a>b>0)的左、右焦点,P为直线x=上一点,△F1PF2是底角为30°的等腰三角形,则E的离心率为( )
(A) (B) (C) (D)
(5)已知正三角形ABC的顶点A(1,1),B(1,3),顶点C在第一象限,若点(x,y)在△ABC内部,则z=-x+y的取值范围是
(A)(1-,2) (B)(0,2) (C)(-1,2) (D)(0,1+)
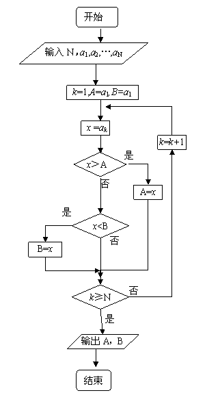
(6)如果执行右边的程序框图,输入正整数N(N≥2)和实数a1,a2,…,aN,输出A,B,则
(A)A+B为a1,a2,…,aN的和
(B)为a1,a2,…,aN的算术平均数
(C )A和B分别是a1,a2,…,aN中最大的数和最小的数
(D)A和B分别是a1,a2,…,aN中最小的数和最大的数

(7)如图,网格纸上小正方形的边长为1,粗线画出的是某几何体的三视图,则此几何体的体积为
(A)6
(B)9
(C)12
(D)18

(8)平面α截球O的球面所得圆的半径为1,球心O到平面α的距离为,则此球的体积为
(A)π (B)4π (C)4π (D)6π
(9)已知ω>0,0 <φ<π,直线x=和x=是函数f(x)=sin(ωx+φ)图像的两条相邻的对称轴,则φ=< p> φ<π,直线x=和x=是函数f(x)=sin(ωx+φ)图像的两条相邻的对称轴,则φ=<>
(A) (B) (C) (D)
(10)等轴双曲线C的中心在原点,焦点在x轴上,C与抛物线y2=16x的准线交于A,B两点,|AB|=4,则C的实轴长为
(A) (B)2 (C)4 (D)8
(11)当0
(A)(0,) (B)(,1) (C)(1,) (D)(,2)
(12) 数列{an}满足an+1+(-1)n an =2n-1,则{an}的前60项和为
(A)3690 (B)3660 (C)1845 (D)1830